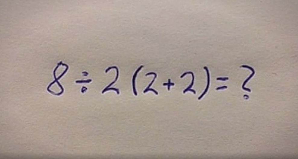
Matematički zadatak koji je podijelio internet ali i matematičare

Naizgled jednostavan matematički zadatak uspio je podijeliti ljude na internetu ali i matematičare. Problem je u tome što je moguće dobiti dva rezultata u zavisnosti od toga kojim redoslijedom se izvršavaju operacije.

Rješenje zadatka može da bude jedan ili 16, a zavisi od toga da li se prvo množi broj ispred zagrade sa rezultatom iz zagrade ili se računske radnje vrše hijerarhijski, rješavanjem zagrade zatim redom dijeljenje i množenje, piše N1.

Matematičari su takođe podijeljeni oko toga da li zagrade imaju prednost pri rješavanju zadataka.