Neslavna podjela goriva za poljoprivrednike Velike Kladuše

Kako smo pisali prije par dana, za poljoprivrednike Velike Kladuše odobrena je podjela goriva kako bi se ublažili efekti divljanja cijena.

Ovakva vijest sigurno je obradovala poljoprivrednike ove Općine USK obzirom na svakodnevna povećanja goriva i nestabilnost tržišta kada je u pitanju ovaj naftni derivat.

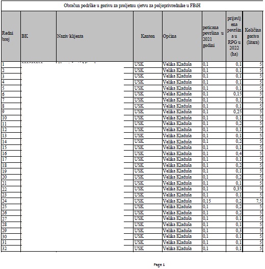
Podjela ovog goriva trebala je biti poticaj poljoprivrednicima, njih 174 koji se nalaze na spisku i kojima je podjela odobrena.

Kada se uzme u obzir da se raspon količine goriva koja će biti dodijeljena kreće u rasponu od 1 do 7, 5 litara, sve izgleda kao neka nedovršena epizoda serijala 'Top lista nadrealista'.

Vozila će više goriva potrošiti dok odu do HIFA-ine benzinske pumpe gdje se vrši podjela.

U ovom članku objavljujemo i spisak poljoprivrednika kojima je odobrena podjela goriva i na njemu se vidi da je njih 11 dobilo samo po 1 litar.

Ukoliko je ovo strategija poticaja koju je Vlada planirala, možda je bolje da uopće i ne planiraju, bar će građani biti manje ogorčeni.